< Previous   Next >

2008 - MX-5 - General Information

HOW TO USE THIS MANUAL

Range of Topics

Service Procedure

Inspection, adjustment
Repair procedure
1. Most repair operations begin with an overview illustration. It identifies the components, shows how the parts fit together, and describes visual part inspection. However, only removal/installation procedures that need to be performed methodically have written instructions.
2. Expendable parts, tightening torques, and symbols for oil, grease, and sealant are shown in the overview illustration. In addition, symbols indicating parts requiring the use of special service tools or equivalent are also shown.
3. Procedure steps are numbered and the part that is the main point of that procedure is shown in the illustration with the corresponding number. Occasionally, there are important points or additional information concerning a procedure. Refer to this information when servicing the related part.

Symbols



Symbol

Meaning

Kind

Symbol

Meaning

Kind

Apply oil

New appropriate engine oil or gear oil

Apply sealant

Appropriate sealant

Apply brake fluid

New appropriate brake fluid

Apply petroleum jelly

Appropriate petroleum jelly

Apply automatic transaxle/transmission fluid

New appropriate automatic transaxle/transmission fluid

Replace part

O‐ring, gasket, etc.

Apply grease

Appropriate grease

Use SST or equivalent

Appropriate tools


Advisory Messages

Warning
Caution
Note
Specification
Upper and lower limits

Troubleshooting Procedure

Basic flow of troubleshooting

DTC troubleshooting flow (on‐board diagnostic)
Diagnostic index
Quick diagnosis chart (If mentioned)
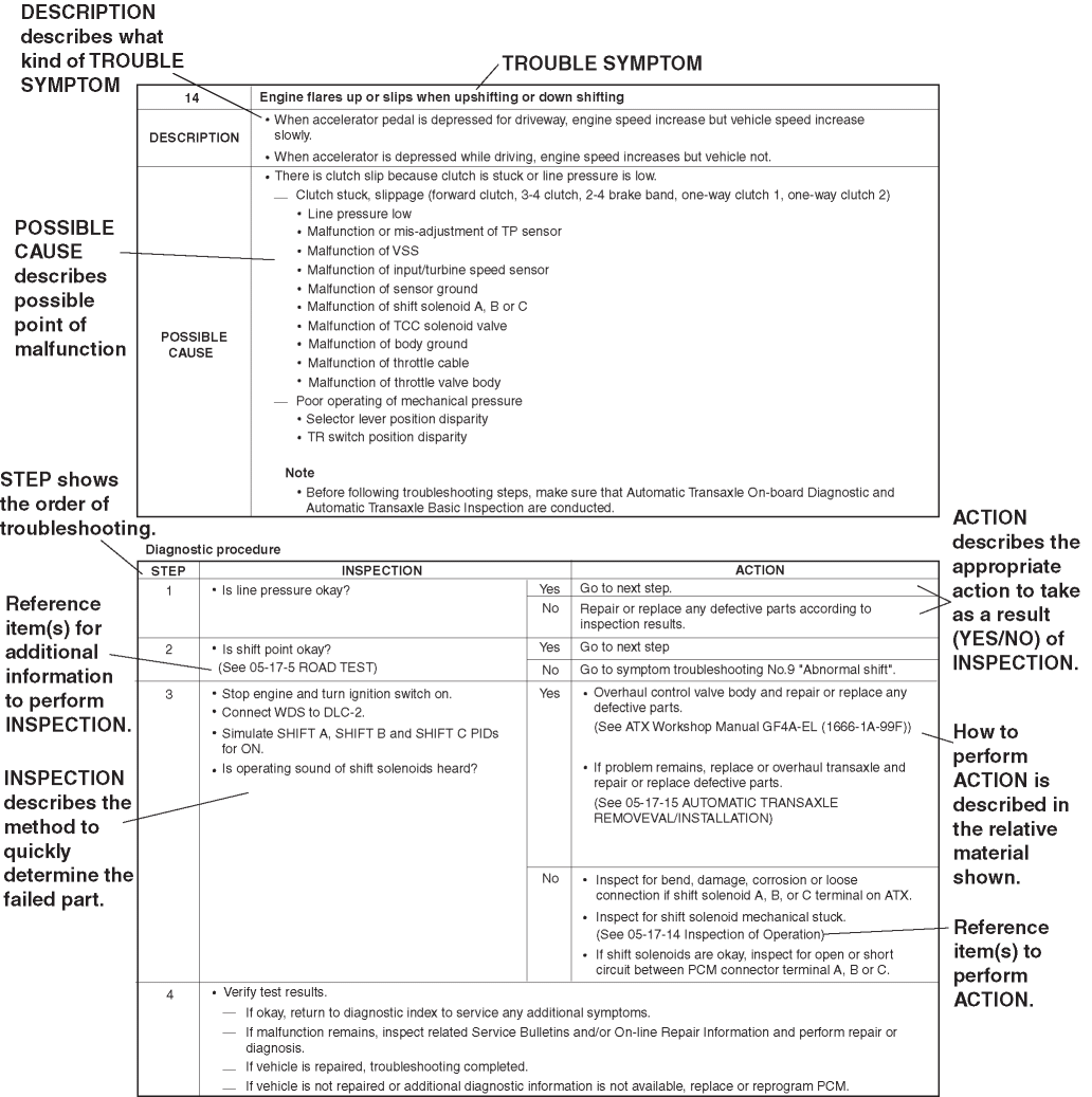
Symptom troubleshooting

Procedures for Use

Using the basic inspection (section 05)

Using the DTC troubleshooting flow

Using the diagnostic index

Using the quick diagnosis chart

Using the symptom troubleshooting



< Previous   Next >
Back to Top
© 2009 Mazda North American Operations, U.S.A.